SLA tiskárna - pokračování (porovnání tiskáren 2023)

Fórum pro 3D tisk.

Moderátoři: Michal Dalecký, Jarda H., Rudolf, 123.marek

SLA tiskárna - pokračování (porovnání tiskáren 2023)

Příspěvekod Zdenek Valter » úte 08 srp, 2023 1:42 pm

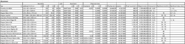
Pokokusil jsem se sestavit do tabulky porovnání dostupných SLA tiskáren.

V tabulce lze srovnávat nebo fitrovat různé parametry.
Přílohy
3dprintercompare.zip
Excel soubor - srovnání tiskáren
(15.16 KiB) 164 krát
Naposledy upravil Zdenek Valter dne úte 08 srp, 2023 1:58 pm, celkově upraveno 1
Zdenek Valter
 
Příspěvky: 3389
Registrován: pon 09 říj, 2006 2:38 pm
Bydliště: Ústí n.L.

Re: SLA tiskárna - pokračování (porovnání tiskáren 2023)

Příspěvekod Zdenek Valter » úte 08 srp, 2023 1:55 pm

Cenu jsem neuváděl - časem se bude lišit.
Zde náhled:
3d printer compare.png

Jinak zajímavý je pohled podle rozlišení:
Best pixels.png
Zdenek Valter
 
Příspěvky: 3389
Registrován: pon 09 říj, 2006 2:38 pm
Bydliště: Ústí n.L.

Re: SLA tiskárna - pokračování (porovnání tiskáren 2023)

Příspěvekod Zdenek Valter » čtv 10 srp, 2023 5:56 pm

Očekával jsme bouřlivou diskusi, ale je asi okurková sezóna. ;-)
Očekával jsem že zejména pro začátečníky či nerozhoddné může být tahle tabulka vodítkem.
Co si o tom myslíte?
Zdenek Valter
 
Příspěvky: 3389
Registrován: pon 09 říj, 2006 2:38 pm
Bydliště: Ústí n.L.

Re: SLA tiskárna - pokračování (porovnání tiskáren 2023)

Příspěvekod czhunter » čtv 10 srp, 2023 8:28 pm

Ani nevím diksuzi o čem - Anycubic uvádí novou SLA tiskrnu asi tak každý měsíc, Elegoo to stejné, Phrozen a Creality každé dva měsíce ... a většinou nijak speciálně nevybočují, jen čím dál víc zaplňují už dřívější řady.

Navíc teď jsou asi prodeje v nějaké krizi, protože výrobci už cca od ledna jedou neustálé slevy a výprodeje.

Aktuálně jsou nejlepší nabídky po kterých koukám asi Anycubic M5s (10`, 12K) a Creality Halot Mage 8K a to hlavně proto, že je na ně teď velká sleva .. ale tady těch +- 10` 8-12K* tiskáren za 300-400 USD je hodně (ještě třeba Elegoo Saturn 3 12K a Saturn 2 8K) a nemyslím že by nějaká nějak zásadně vyčnívala.

Podle mě jsou ve skutečnosti nejdůlěžitější věci jako levelovací systém (HW/SW), podpora ve slicerecb, tuhost konstrukce, zpracování platformy, filtrační systém (vzduchu, pokud tiskárna má) atd. - prostě to co se do tabulky dát nedá, protože parametry co se do tabulky dají dát mají už prakticky všichni dobré.


* ani nemyslím že by rozdíl mezi 8K a 12K byl pro něco zásadní - před dvěma lety jsme na stejné ploše měli 4K a chrochtali si blahem, jak je to krásně detailní ...
czhunter
 
Příspěvky: 605
Registrován: ned 04 zář, 2011 9:37 am

Re: SLA tiskárna - pokračování (porovnání tiskáren 2023)

Příspěvekod Zdenek Valter » pát 11 srp, 2023 5:45 pm

czhunter píše:Ani nevím diksuzi o čem - Anycubic uvádí novou SLA tiskrnu asi tak každý měsíc, Elegoo to stejné, Phrozen a Creality každé dva měsíce ... a většinou nijak speciálně nevybočují, jen čím dál víc zaplňují už dřívější řady.

Navíc teď jsou asi prodeje v nějaké krizi, protože výrobci už cca od ledna jedou neustálé slevy a výprodeje.

Aktuálně jsou nejlepší nabídky po kterých koukám asi Anycubic M5s (10`, 12K) a Creality Halot Mage 8K a to hlavně proto, že je na ně teď velká sleva .. ale tady těch +- 10` 8-12K* tiskáren za 300-400 USD je hodně (ještě třeba Elegoo Saturn 3 12K a Saturn 2 8K) a nemyslím že by nějaká nějak zásadně vyčnívala.
...

A ty máš nějaku tiskárnu?
Co se týče tvé poznámky:
czhunter píše:Podle mě jsou ve skutečnosti nejdůlěžitější věci jako levelovací systém (HW/SW), podpora ve slicerecb, tuhost konstrukce, zpracování platformy, filtrační systém (vzduchu, pokud tiskárna má) atd.

Můžeš nám začátečníkům poradit kde tyto prametry vyčíst?
czhunter píše:* ani nemyslím že by rozdíl mezi 8K a 12K byl pro něco zásadní - před dvěma lety jsme na stejné ploše měli 4K a chrochtali si blahem, jak je to krásně detailní ...

Ještě se přiznám že sice rozlišení 8K a 12K a jeho zvýšení nemusí být až tak významné nebo dokonce žádné, ba dokoce některé může být i horší, v důsledku jde skutečnou velikost pixelu - a o tom je ta druhá tabulka srovnávaných tiskáren.
Zdenek Valter
 
Příspěvky: 3389
Registrován: pon 09 říj, 2006 2:38 pm
Bydliště: Ústí n.L.

Re: SLA tiskárna - pokračování (porovnání tiskáren 2023)

Příspěvekod czhunter » čtv 17 srp, 2023 5:18 am

Já mám stařičký a už v podstatě nefunkční Photon Mono SE - a to co jsem se naučil je třeba právě to, že levelování platformy pomocí kulového kloubu je hrozná věc a u nové tiskárny se tomu budu snažit za každou cenu vyhnout.
Ono to vypadá jednoduše a elegantně - přesně do té doby, než se ten mechanismus "ochodí" (což je docela brzo) a přestane pevně držet. Zlaté čytři šrouby.

Můžeš nám začátečníkům poradit kde tyto prametry vyčíst?

To nikde u výrobce nevyčteš - ti se tím nechlubí.
Nejlepší texty o 3D tisku na světě podle mě napsal Jan Mrázek (ač Čech, píše anglicky):
https://blog.honzamrazek.cz/author/yaqwsx/

On totiž na rozdíl od všech ostatních nepíše o svých "dojmech a pocitech", ale nasadil na tiskárnu tenzometry atd. a zjistil, že hlavní příčinou selhání tisku je měkká konstrukce, tzn. když se tiskárna při odtrhávání vrstvy ohne
https://blog.honzamrazek.cz/2022/10/ele ... #more-2737
Čím tužší konstrukce, tím úspěšnější tisky.

Jak je ta konstrukce tuhá, to se bohužel nikde nedozvíš - a právě proto mají ve skutečnosti na kvalitu a úspěch tisku daleko větší vliv parametry, které nemůžeš nikde vyčíst (včetně třeba uniformity a paralelity osvětlení, matnosti krycího skla, který vytváří light scattering atd. - to je zase tady https://blog.honzamrazek.cz/2022/12/abo ... backlight/ )

Ad 8K vs. 12K.

Když testoval 8K tiskárnu, tak mezi fotky výtisků z ní záměrně zamíchal i dvě fotky výtisků ze 4K tiskárny.
(v tom prvním odkaze - https://blog.honzamrazek.cz/2022/10/ele ... #more-2737 )
Je velmi těžké je najít - tzn. i přesto co říkají výrobci je rozdíl 4K vs. 8K na stejné uhlopříčce maličkatý, téměř neznatelný.
Rozdíl mezi 8K a 12K musí být nutně ještě mnohem menší.

Ano, "víc K je obecně lepší". Ale 12K není o o 50 % lepší 8K. Možná tak o 10 %. Když se všechny ostatní věci dobře sejdou.
Pro mě to nebude při nákupu nové rozhodující.

Shrnutí:
Tabulka je to pěkná (možná by bylo lepší kdyby visela někde online - líp by se to editovalo a doručovaly změny), určitě to dalo nějakou práci, ale ve když si někdo chce koupí mSLA tiskárnu, tak ani jeden z těch parametrů v té tabulce není ten, který nakonec rozhoduje o (ne)spokojenosti s koupí - takže ve výsledku ani není podstatný pro výběr.
czhunter
 
Příspěvky: 605
Registrován: ned 04 zář, 2011 9:37 am

Re: SLA tiskárna - pokračování (porovnání tiskáren 2023)

Příspěvekod belgarat » čtv 17 srp, 2023 6:51 am

offtopic hint: tabulku jde umistit (a vicenebe pohodlne editovat) do Wiki ...
TT ep. IVa-b; analog + NanoX, DR5000. Pseudoprogramator, pindac nesmyslu
http://modelwiki.klfree.net
belgarat
 
Příspěvky: 2428
Registrován: čtv 27 pro, 2012 9:36 pm
Bydliště: Hřebeč u Kladna

Re: SLA tiskárna - pokračování (porovnání tiskáren 2023)

Příspěvekod Zdenek Valter » sob 14 říj, 2023 7:26 pm

belgarat píše:offtopic hint: tabulku jde umistit (a vicenebe pohodlne editovat) do Wiki ...

Asi bych se o to pokusil to dát na wiki, nicméně bych asi pod vedením nekoho zkušeného - netuším kam to vlastně v té encyklopedii dát?

JInak uvažuji o upgrade tiskárny - zatím je mým favoritem poslední v tabulce Elegoo Saturn 3 Ultra 12K
Jinak teď je i podobná Elegoo Saturn 3 12K výrazně levnější.
Přílohy
Table SLA Compare.png
Zdenek Valter
 
Příspěvky: 3389
Registrován: pon 09 říj, 2006 2:38 pm
Bydliště: Ústí n.L.

Re: SLA tiskárna - pokračování (porovnání tiskáren 2023)

Příspěvekod Zdenek Valter » pát 27 říj, 2023 12:30 pm

Ještě dotaz na znalé pro uvažovanou tiskárnu Elegoo Saturn 3 Ultra 12K bych rád něco na čištění a vytvrzování velkých modelů.
1. Mám jít cestou stanice Anycubic Wash & Cure Max: https://www.3djake.cz/3d-tiskarny-a-pri ... h-cure-max
2. Nebo si koupit ultrazvukovou čističku jak doporučuje JeníkPluto: Ultrazvuková čistička GETI GUC 13B 13L nerez https://www.tipa.eu/cz/ultrazvukova-cis ... /d-213768/
ale potom co použít k vytvrzení?
Zdenek Valter
 
Příspěvky: 3389
Registrován: pon 09 říj, 2006 2:38 pm
Bydliště: Ústí n.L.

Re: SLA tiskárna - pokračování (porovnání tiskáren 2023)

Příspěvekod Zdenek Valter » pát 03 lis, 2023 10:25 pm

Tak je zřejmě nějaká doba intezivní práce zkušených 3D tiskařů - že si nikdo v závalu práce nevšiml mého předchozího dotazu ;-)
Zdenek Valter
 
Příspěvky: 3389
Registrován: pon 09 říj, 2006 2:38 pm
Bydliště: Ústí n.L.

Re: SLA tiskárna - pokračování (porovnání tiskáren 2023)

Příspěvekod MirekTT » sob 04 lis, 2023 6:30 am

Já jsem si tvého dotazu všiml Zdeňku, jenže nemám co odpovědět, protože mám zkušenost pouze s tiskárnou a pračkou od průši. Takže nemůžu hodnotit, nebo dokonce doporučovat, co jsem ani neviděl naživo. A tlumočit informace nalezené jinde na internetu taky nebudu.

Ultrabzuk mám doma malý z lídlu a ještě jsem ho na praní výtisků nezkoušel.

Moje zkušenost je taková, že nejlepší je výtisk nechat okapat ještě na platformě, ale ta se musí zavěsit jinak, než v poloze, ve které tiskla. Nevím proč, ale z výtisků resin nechce moc okapat ani přes noc, když tiskárna jen dotiskne a vše zůstane jak je. Na průšu se dá stáhnout a vytisknout takovej držák, který se vloží místo platformy do věže a platforma do něj. Pak výtisky okapou celkem slušně. Jenže tohle málokdy dělám, protože to zdržuje.

Takže praní. Samozřejmě už to tu padlo mockrát, nejmíň ve dvou lázních. Na první lázeň bych asi ultrazvukovku použil, ať se resin rozpustí a zředí i v malých otvorech a zákoutích. Ale já to zatím dělám máčením a třepáním ručně s výtiskem v pinzetě. A potom s výtiskem do čistší lázně do klasické vířivé pračky.
Ano, ostřik-oplach tlakovým izopropylem je rozhodně ideální, ale jen na povrchy. Do děr se s tím nedostaneš. Ideál by asi byl pistole naplněná izopropylem a každý výtisk ručně ostříkat. Ale to si nedovedu představit, ten rozptýlený aerosol. To bys asi musel dělat v něčem, jako je pískovací box.

No a teď líh versus izopropyl. Líh jsem nezkoušel, ale prý je o něco lepší.

Dále po praní musí výtisk uschnout. Buď odparem, ale lepší by byl opět ofuk čistým vzduchem a zase ručně vyfoukat všechno i z děr. Navíc to musí být rychlé, aby se izopropyl neodpařil a nezanechal na výtisku v sobě rozpuštěný resin, ale byl odfouknut ještě za mokra i se zbytky resinu. Jenže to je jen teorie, nikdy jsem to takto nedělal. Vlastně ano. U slepých děr pro čepy otočných podvozků čtyřnápravových vozů jsem po praní do každé díry foukl ústy. Jinak výtisky suším v průšově pračce pomocí programu, který slouží k předehřevu láhve s resinem, než se naleje do vaničky. Dělá to mírný proud vzduchu z ventilátoru a nahřívá to na nějakých cca 30stupňů, ale jde to i přenastavit a možná ani ohřev není nutný, stačil by jen ventilátor. Já jsem jen líný mačkat cuplík a hledat v menu změnu hodnot. Tovární nastavení funguje, tak do toho nerýpu.

No a nakonec zapékám opět v průšovce na defaultních 3,5minuty. Stačí to na většinu tvarů a typů resinu. Jó když potřebuju něco hodně tvrdé, nechám to tam na dva cykly.

Prostě nemám, co bych ti poradil. Mohu jen sdělit své zkušenosti a poznatky, maximálně z toho plynoucí teoretické myšlenky. Ale buď v klidu, tvé příspěvky o 3D tisku čtu velmi intezivně z pravidla ihned, jakmile se objeví :)
Upozornění! Toto je diskuzní fórum, a ne vševědopedie absolutních pravd!
www.ModulyBrno.cz
MirekTT
 
Příspěvky: 2584
Registrován: stř 03 pro, 2008 7:39 pm

Re: SLA tiskárna - pokračování (porovnání tiskáren 2023)

Příspěvekod Zdenek Valter » sob 04 lis, 2023 10:57 am

Míro díky, ale čekal jsem spíše to že se ozve JeníkPluto, který ultrazvuk používá, popřípadě kluci co mají Elegoo tiskárny podobné velkosti - Pawlík, popřípadě i belgarat.
Ježíšek se blíží a já bych rozhodnutí "kterou cestou se dát" dělal už co nejdříve. ;-)
Zdenek Valter
 
Příspěvky: 3389
Registrován: pon 09 říj, 2006 2:38 pm
Bydliště: Ústí n.L.

Re: SLA tiskárna - pokračování (porovnání tiskáren 2023)

Příspěvekod JenikPluto » sob 04 lis, 2023 6:23 pm

Promin, prislo mi, ze uz jsem to tu nekde psal, tak jsem nereagoval.

Muj postup:

1. Nechat chvili okapat v tiskarne - mam ji vyhratou na 35 stupnu, takze je resin pomerne tekuty a stece behem rekneme pul hodiny.

2. Hodit do vany s michanym isopropylem na hrube omyti. Pouzivam stary velky exsikator (je v nem asi pet litru IPA), je to uzavrena nadoba.

3. Hodit do ultrazvukove lazne (plnena vodou) v kadince naplnene lihem, tak na dve minuty, kdyz ma model vic zakouti, tak trosku delsi dobu. Obcas promichat.

4. Oplachnout cistym lihem a ofouknout stlacenym vzduchem dosucha.

5. Vytvrdit 15 minut (ciry resin) nebo hodinu (ostatni). Pouzivam komoru od Phrozen.

Cili od vseho neco, ale ultrazvuk pomaha hodne, pokud ma model hodne mist, ze kterych se resin vymyva blbe.

JP
JenikPluto
 
Příspěvky: 464
Registrován: pát 08 lis, 2013 10:19 am
Bydliště: Kladno

Re: SLA tiskárna - pokračování (porovnání tiskáren 2023)

Příspěvekod Zdenek Valter » pát 10 lis, 2023 8:50 am

Zdenek Valter píše:Ještě dotaz na znalé pro uvažovanou tiskárnu Elegoo Saturn 3 Ultra 12K bych rád něco na čištění a vytvrzování velkých modelů.
1. Mám jít cestou stanice Anycubic Wash & Cure Max: https://www.3djake.cz/3d-tiskarny-a-pri ... h-cure-max
2. Nebo si koupit ultrazvukovou čističku jak doporučuje JeníkPluto: Ultrazvuková čistička GETI GUC 13B 13L nerez https://www.tipa.eu/cz/ultrazvukova-cis ... /d-213768/
ale potom co použít k vytvrzení?

Takže jsem zvolil variantu 1. protože ke 2. nejsem dostatečně vybaven a bylo by to pro mne na dlouhou trať - to mi připomíná i to, že i proto bych měl co nejdříve dát dohromady kompresor na ofukování výtisků.
Zdenek Valter
 
Příspěvky: 3389
Registrován: pon 09 říj, 2006 2:38 pm
Bydliště: Ústí n.L.

Re: SLA tiskárna - pokračování (porovnání tiskáren 2023)

Příspěvekod Zdenek Valter » pon 18 pro, 2023 7:55 pm

Tak po cca 14 denní zkušenosti s tiskem z větší tiskárny a používání stanice Anycubic Wash&cure max https://www.3djake.cz/3d-tiskarny-a-pri ... h-cure-max
Bych jí pro používání pro jemné věci nedoporučil - Tiskneme-li totiž malý detail tak většina praček má vnitřní koš s velkými oky, která mytý díl nezachytí pokud je volně v prostoru.
U čističky Creality je možné prát i platformou s velmi dobrými výsledky - díly zůstavají na platformě - viz tisk oken ve vlákně zde: viewtopic.php?f=52&t=14660&start=45
Je zde i popsán rozdíl.
Bohužel stanice Anycubic Wash&cure max používá jen 5l Isopropylu takže čištění se provádí více méně ostřikem a ne oplachem v mediu.
Nejhloupější je, že tahle stanice má mytí jen v automatickém cyklu s cca 3,5 minutovýnm osvícením UV, které nelze vypnout.
Pokud by cyckly mohly být oddělěny bylo by to dle mého názoru výrazně užitečněnjší.
Uvažuji o tom, že pro mytí na platformě si vytvořím přípravky na zavěšení platformy do myčky podobně jak je to v Crealitity UW-01.
Ne že by ta stanice větší části neumyla ale nesmí být na platformě.
Další nectností, že myje i vodou kterou po cyklu vypustí - voda obsahuje i zbytky resinu takže by se musela filtrovat.
Tedy co mytí to 5l vody.
Naštěstí Isopropyl filtruje takže je tam v uzavřeném cyklu.
Naposledy upravil Zdenek Valter dne stř 20 pro, 2023 2:16 pm, celkově upraveno 1
Zdenek Valter
 
Příspěvky: 3389
Registrován: pon 09 říj, 2006 2:38 pm
Bydliště: Ústí n.L.

Další

Zpět na 3D Tisk

Kdo je online

Uživatelé procházející toto fórum: Žádní registrovaní uživatelé a 1 návštěvník